Untuk Meregangkan Sebuah Pegas Sebesar 4 Cm. Energi yang dibutuhkan untuk meregangkan pegas sejauh 12 cm adalah. Untuk meregangkan sebuah pegas sebesar 4 cm diperlukan usaha sebesar 0,16 joule. Dua pegas identic dirangkai seperti pada. Ditanyakan usaha (w)jawab usaha pada pegas merupakan selisih dari energi potensialnya, yang dirumuskan sebagai berikut. Untuk meregangkan pegas itu sebesar 2 cm diperlukan gaya (dalam n). Untuk meregangkan pegas itu sebesar 2 cm diperlukan gaya sebesar. Gaya yang diperlukan untuk meregangkan pegas tersebut sepanjang 2 cm diperlukan gaya sebesar. Jadi perubahan panjang pegas jika disusun secara paralel adalah 10 cm. Untuk meregangkan sebuah pegas sejauh 5 cm diperlukan gaya sebesar 20 n. Untuk meregangkan sebuah pegas sebesar 4 cm diperlukan usaha 0,16 j. Sebuah pegas diberi beban 2 kg seperti gambar berikut. Konsep dasarpembahasan kompetensi 2a untuk meregangkan sebuah pegas sejauh 5 cm diperlukan gaya sebesar 20 n. Untuk meregangkan sebuah pegas sebesar 4 cm diperlukan usaha sebesar 0,16 j. Untuk meregangkan sebuah pegas sebesar 4 cm diperlukan usaha 0,16 j. Untuk meregangkan pegas itu sebesar 2cm dperlukan gaya (dalam newton) a.

Diketahui suatu pegas meregang sebesar 5 cm ketika ditarik dengan gaya 20 n. Suatu usaha dilakukan sebesar 0.16j untuk meregangkan sebuah pegas sebesar 4 cm. Dua pegas identic dirangkai seperti pada. Jadi, konstanta pegasnya adalah 500 n/m. 5) untuk meregangkan sebuah pegas sebesar 4 cm diperlukan usaha sebesar 0,16 j. Untuk meregangkan pegas sepanjang 6 cm, maka diperlukan gaya sebesar. Ep 2 = 4 j. Jadi perubahan panjang pegas jika disusun secara paralel adalah 10 cm. Energi potensial pegas ketika meregang sejauh 10 cm adalah. Apabila dikehendaki untuk meregangkan pegas 3 cm, maka besar gaya tarik yang diperlukan adalah sebesar.
Untuk Meregangkan Sebuah Pegas Sebesar 4 Cm Diperlukan Usaha 0,16 J.
Δx = 25/200 meter = 12,5 cm. Konsep dasarpembahasan kompetensi 2a untuk meregangkan sebuah pegas sejauh 5 cm diperlukan gaya sebesar 20 n. Ditanyakan usaha (w)jawab usaha pada pegas merupakan selisih dari energi potensialnya, yang dirumuskan sebagai berikut. Untuk meregangkan sebuah pegas sejauh 10 cm diperlukan gaya sebesar 50 n. Δx₁ = 4 cm δx₂ = 2 cm w₁ = 0,1 joule Untuk meregangkan sebuah pegas sebesar 4 cm diperlukan usaha; Perhatikan dengan seksama gambar dibawah ini. Untuk meregangkan pegas itu sebesar 2 cm diperlukan gaya (dalam n). Untuk meregangkan sebuah pegas sebesar 4 cm diperlukan usaha sebesar 0,16 j.
Untuk Meregangkan Sebuah Pegas Sebesar 4 Cm Diperlukan Usaha Sebesar 0,16 J.
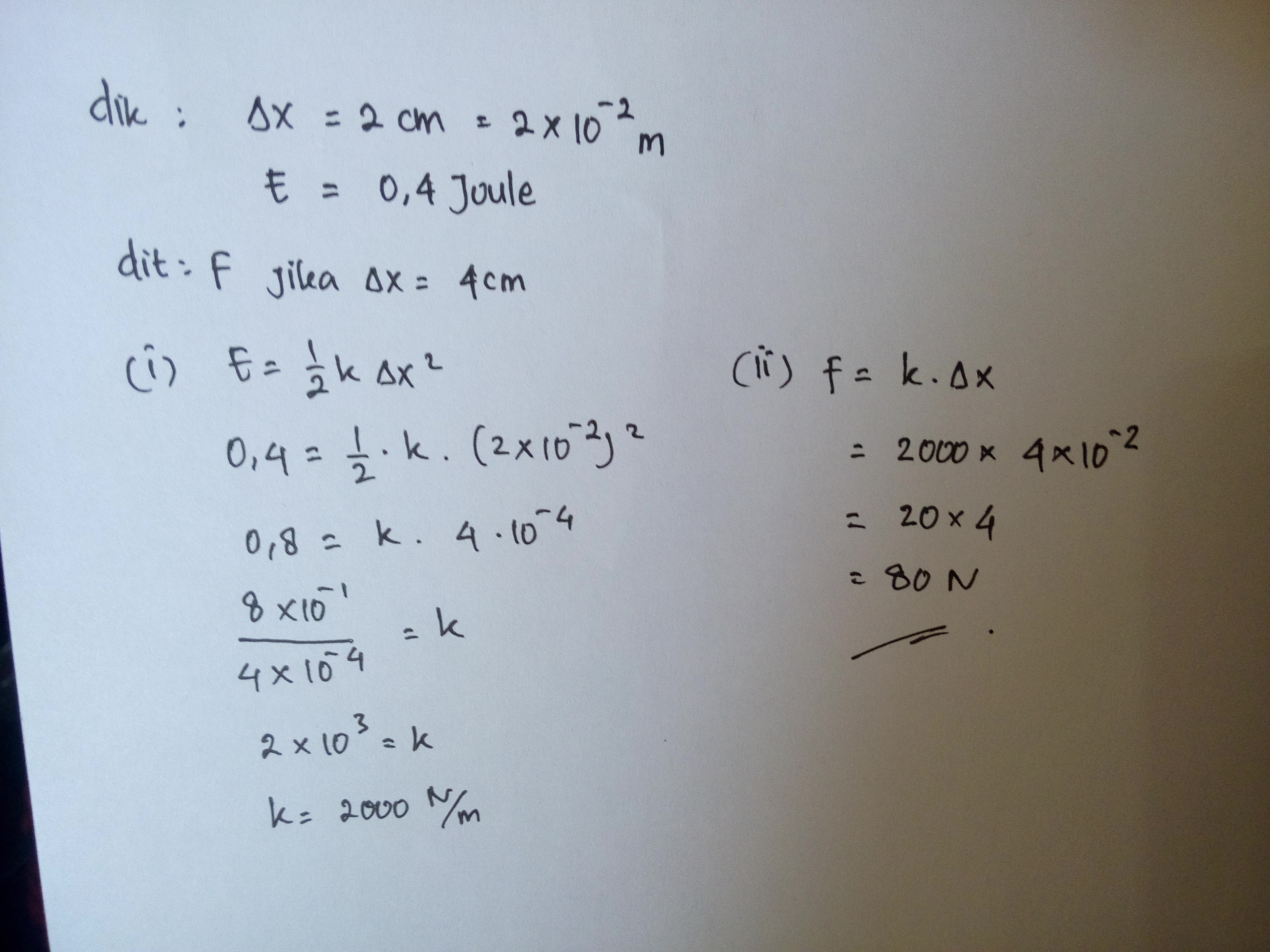
Untuk meregangkan pegas itu sebesar 2 cm diperlukan gaya sebesar. 4,0 n (umptn 1996) pembahasan. Untuk meregangkan pegas sepanjang 2 cm diperlukan usaha sebesar 0,4 j. Energi potensial elastis pegas untuk meregangkan pegas sejauh 12 cm atau 0,12. Suatu pegas panjangnya 10 cm jika ditarik dengan gaya sebesar 4 n panjangnya jadi 22 cm. Ep 2 = 4 j. Sebelum menghitung usaha, kita cari dulu konstanta pegasnya. Untuk meregangkan pegas sebesar 2 maka cm diperlukan gaya sebesar. Untuk meregangkan sebuah pegas sepanjang 3 cm diperlukan energi 0,12 j.
Untuk Meregangkan Sebuah Pegas Sebesar 4 Cm Diperlukan Usaha 0,16 J.
Sehingga usaha pegas tersebut untuk meregangkan pegas 2 cm adalah: Jadi perubahan panjang pegas jika disusun secara paralel adalah 10 cm. (a) 100 j (b) 150 j (c) 200 j (d) 250 j (e) 300 j 2. Untuk meregangkan sebuah pegas sebesar 4 cm diperlukan usaha sebesar 0,16 j. Pegas mematuhi hukum hooke, panjang total pegas. Saat simpangannya 5 cm, pegas tersebut mempunyai energi potensial… a. Pertambahan panjang pegas jika ditarik dengan gaya sebesar 25 n adalah. Diketahui suatu pegas meregang sebesar 5 cm ketika ditarik dengan gaya 20 n. Ep = ½ kx 2.